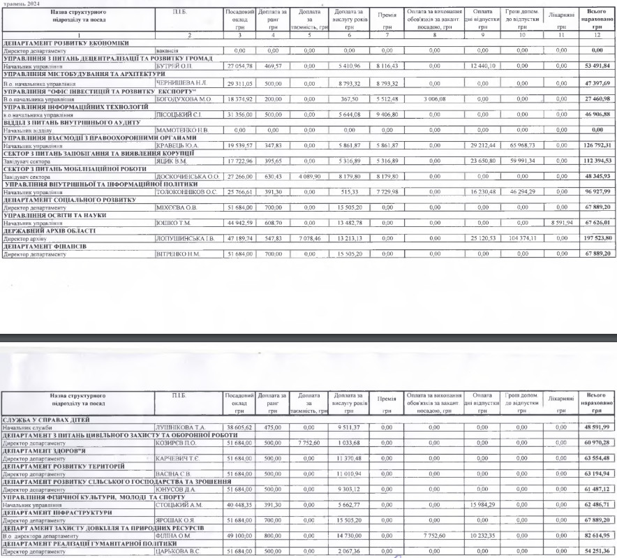
У травні керівники структурних підрозділів Херсонської ОВА заробили більше 1,5 мільйона гривень – 1 мільйон 525 тисяч 687 гривень та 39 копійок.Про це свідчить відповідь обласної військової адміністрації на запит видання Мост.Начальник управління з питань децентралізації та розвитку громад Олег Бутрей отримав 53 тисячі 491 гривню та 84 копійки.
В. о. начальника управління містобудування та архітектури Наталі Чернишевій заплатили 47 тисяч 397 гривень та 69 копійок.
Виконуючій обов’язки начальника офісу інвестицій та розвитку експорту Марії Богодуховій виплатили 27 тисяч 460 гривень та 98 копійок. В. о. начальника управління інформаційних технологій Євген Пісоцький заробив 46 тисяч 906 гривень та 88 копійок.
Начальник управління взаємодії з правоохоронними органами Юрій Кравець отримав 126 тисяч 792 гривні та 31 копійку. Завідувачу сектору з питань запобігання та виявлення корупції Вадиму Яцику заплатили 112 тисяч 394 гривні та 53 копійки.
Завідувачці сектору з питань мобілізаційної роботи О. Доскочинській виплатили 48 тисяч 345 гривень та 93 копійки. Начальник управління внутрішньої та інформаційної політики Олександр Толоконніков заробив 96 тисяч 927 гривень та 99 копійок.
Директорка департаменту соціального розвитку Олена Міхєєва отримала 67 тисяч 889 гривень та 20 копійок. Начальниці управління освіти та науки Тетяні Юшко заплатили 67 тисяч 626 гривень та 1 копійку.
Директорці державного архіву Ірині Лопушинській виплатили 197 тисяч 523 гривні та 80 копійок.
Директорка департаменту фінансів Наталія Вітренко заробила 67 тисяч 889 гривень та 20 копійок. Директор департаменту інфраструктури Олег Ярошак отримав ту ж суму.
Начальниці служби у справах дітей Тетяні Лушніковій заплатили 48 тисяч 591 гривню та 99 копійок. Директору департаменту з питань цивільного захисту та оборонної роботи Павлу Козирєву виплатили 60 тисяч 970 гривень та 28 копійок.
Директорка департаменту здоров’я Тетяна Карчевич заробила 63 тисячі 554 гривні та 48 копійок. Директорка департаменту розвитку територій Світлана Васіна отримала 63 тисячі 194 гривні та 94 копійки.
Директору департаменту розвитку сільського господарства та зрошення Дмитру Юнусову заплатили 61 тисячу 487 гривень та 12 копійок. Начальнику управління фізичної культури, молоді та спорту Анатолію Стоцькому виплатили 62 тисячі 486 гривень та 71 копійку.
Виконуюча обов’язки директора департаменту захисту довкілля та природніх ресурсів Ольга Філіна заробила 82 тисячі 614 гривень та 95 копійок. А директорка департаменту реалізації гуманітарної політики Віолетта Царькова отримала 54 тисячі 251 гривню та 36 копійок.
Минулого року керівникам структурних підрозділів Херсонської ОВА заплатили 14 мільйонів 634 тисячі 465 гривень та 50 копійок.
Виконуючій обов’язки начальника офісу інвестицій та розвитку експорту Марії Богодуховій виплатили 27 тисяч 460 гривень та 98 копійок. В. о. начальника управління інформаційних технологій Євген Пісоцький заробив 46 тисяч 906 гривень та 88 копійок.
Начальник управління взаємодії з правоохоронними органами Юрій Кравець отримав 126 тисяч 792 гривні та 31 копійку. Завідувачу сектору з питань запобігання та виявлення корупції Вадиму Яцику заплатили 112 тисяч 394 гривні та 53 копійки.
Завідувачці сектору з питань мобілізаційної роботи О. Доскочинській виплатили 48 тисяч 345 гривень та 93 копійки. Начальник управління внутрішньої та інформаційної політики Олександр Толоконніков заробив 96 тисяч 927 гривень та 99 копійок.
Директорка департаменту соціального розвитку Олена Міхєєва отримала 67 тисяч 889 гривень та 20 копійок. Начальниці управління освіти та науки Тетяні Юшко заплатили 67 тисяч 626 гривень та 1 копійку.
Директорці державного архіву Ірині Лопушинській виплатили 197 тисяч 523 гривні та 80 копійок.
Директорка департаменту фінансів Наталія Вітренко заробила 67 тисяч 889 гривень та 20 копійок. Директор департаменту інфраструктури Олег Ярошак отримав ту ж суму.
Начальниці служби у справах дітей Тетяні Лушніковій заплатили 48 тисяч 591 гривню та 99 копійок. Директору департаменту з питань цивільного захисту та оборонної роботи Павлу Козирєву виплатили 60 тисяч 970 гривень та 28 копійок.
Директорка департаменту здоров’я Тетяна Карчевич заробила 63 тисячі 554 гривні та 48 копійок. Директорка департаменту розвитку територій Світлана Васіна отримала 63 тисячі 194 гривні та 94 копійки.
Директору департаменту розвитку сільського господарства та зрошення Дмитру Юнусову заплатили 61 тисячу 487 гривень та 12 копійок. Начальнику управління фізичної культури, молоді та спорту Анатолію Стоцькому виплатили 62 тисячі 486 гривень та 71 копійку.
Виконуюча обов’язки директора департаменту захисту довкілля та природніх ресурсів Ольга Філіна заробила 82 тисячі 614 гривень та 95 копійок. А директорка департаменту реалізації гуманітарної політики Віолетта Царькова отримала 54 тисячі 251 гривню та 36 копійок.
Минулого року керівникам структурних підрозділів Херсонської ОВА заплатили 14 мільйонів 634 тисячі 465 гривень та 50 копійок.