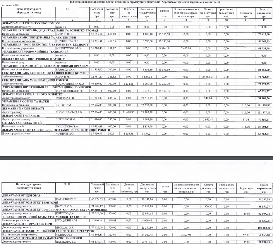
У серпні керівництво структурних підрозділів Херсонської ОВА заробило більше 1,5 мільйона гривень або 1 мільйон 569 тисяч 597 гривень та 27 копійок.Про це свідчить відповідь обласної військової адміністрації на інформаційний запит видання Мост.Начальник управління з питань децентралізації та розвитку громад Олег Бутрей отримав 79 тисяч 419 гривень і 60 копійок.
В. о. начальника управління містобудування та архітектури Наталі Чернишевій заплатили 56 тисяч 969 гривень та 73 копійки.
Виконуючій обов’язки начальника офісу інвестицій та розвитку експорту Марії Богодуховій виплатили 48 тисяч 935 гривень і 99 копійок. Начальник управління взаємодії з правоохоронними органами Юрій Кравець заробив 83 тисячі 668 гривень.
Завідувач сектору з питань запобігання та виявлення корупції Вадим Яцик отримав 71 тисячу 563 гривні та 21 копійку.
Завідувачці сектору з питань мобілізаційної роботи Олені Доскочинській заплатили 72 тисячі 273 гривні та 25 копійок. Начальнику управління внутрішньої та інформаційної політики Олександру Толоконнікову виплатили 62 тисячі 726 гривень і 37 копійок.
Директорка департаменту соціального розвитку Олена Міхєєва заробила 94 тисячі 100 гривень та 26 копійок. Начальниця управління освіти та науки Тетяна Юшко отримала 101 тисячу 598 гривень і 86 копійок.
Директорці державного архіву Ірині Лопушинській заплатили 111 тисяч 577 гривень та 24 копійки. Директорці департаменту фінансів Наталії Вітренко виплатили 70 тисяч 550 гривень і 17 копійок.
Начальниця служби у справах дітей Тетяна Лушнікова заробила 87 тисяч 4 гривні та 87 копійок. Директор департаменту з питань цивільного захисту та оборонної роботи Павло Козирєв отримав 67 тисяч 862 гривні та 7 копійок.
Директорці департаменту здоров’я Тетяні Карчевич заплатили 76 тисяч 337 гривень і 58 копійок. Директорці департаменту розвитку територій Світлані Васіній виплатили 88 тисяч 537 гривень та 27 копійок.
Директор департаменту розвитку сільського господарства та зрошення Дмитро Юнусов заробив 92 тисячі 95 гривень і 74 копійки. Начальник управління фізичної культури, молоді та спорту Анатолій Стоцький отримав 66 тисяч 130 гривень та 75 копійок.
Директору департаменту інфраструктури Олегу Ярошаку заплатили 101 тисячу 483 гривні та 80 копійок.
В. о. директора департаменту захисту довкілля та природніх ресурсів Ользі Філіній виплатили 64 тисячі 868 гривень і 48 копійок. А директорка департаменту реалізації гуманітарної політики Віолетта Царькова заробила 71 тисячу 894 гривні та 3 копійки.
Минулого року керівникам структурних підрозділів Херсонської ОВА заплатили 14 мільйонів 634 тисячі 465 гривень та 50 копійок.
Виконуючій обов’язки начальника офісу інвестицій та розвитку експорту Марії Богодуховій виплатили 48 тисяч 935 гривень і 99 копійок. Начальник управління взаємодії з правоохоронними органами Юрій Кравець заробив 83 тисячі 668 гривень.
Завідувач сектору з питань запобігання та виявлення корупції Вадим Яцик отримав 71 тисячу 563 гривні та 21 копійку.
Завідувачці сектору з питань мобілізаційної роботи Олені Доскочинській заплатили 72 тисячі 273 гривні та 25 копійок. Начальнику управління внутрішньої та інформаційної політики Олександру Толоконнікову виплатили 62 тисячі 726 гривень і 37 копійок.
Директорка департаменту соціального розвитку Олена Міхєєва заробила 94 тисячі 100 гривень та 26 копійок. Начальниця управління освіти та науки Тетяна Юшко отримала 101 тисячу 598 гривень і 86 копійок.
Директорці державного архіву Ірині Лопушинській заплатили 111 тисяч 577 гривень та 24 копійки. Директорці департаменту фінансів Наталії Вітренко виплатили 70 тисяч 550 гривень і 17 копійок.
Начальниця служби у справах дітей Тетяна Лушнікова заробила 87 тисяч 4 гривні та 87 копійок. Директор департаменту з питань цивільного захисту та оборонної роботи Павло Козирєв отримав 67 тисяч 862 гривні та 7 копійок.
Директорці департаменту здоров’я Тетяні Карчевич заплатили 76 тисяч 337 гривень і 58 копійок. Директорці департаменту розвитку територій Світлані Васіній виплатили 88 тисяч 537 гривень та 27 копійок.
Директор департаменту розвитку сільського господарства та зрошення Дмитро Юнусов заробив 92 тисячі 95 гривень і 74 копійки. Начальник управління фізичної культури, молоді та спорту Анатолій Стоцький отримав 66 тисяч 130 гривень та 75 копійок.
Директору департаменту інфраструктури Олегу Ярошаку заплатили 101 тисячу 483 гривні та 80 копійок.
В. о. директора департаменту захисту довкілля та природніх ресурсів Ользі Філіній виплатили 64 тисячі 868 гривень і 48 копійок. А директорка департаменту реалізації гуманітарної політики Віолетта Царькова заробила 71 тисячу 894 гривні та 3 копійки.
Минулого року керівникам структурних підрозділів Херсонської ОВА заплатили 14 мільйонів 634 тисячі 465 гривень та 50 копійок.